许力
浙江工业大学教授
中国美术学院现代书法研究中心研究员

这次“鸿鹄高飞——赵冷月先生书法特展”在雅昌(深圳)艺术中心的呈现,是一次纯粹的中国古典艺术跟当代空间的形态碰撞。
作为策展人,我们最初讨论的状态,是希望能够把赵老,在公共性展示层面,思考古典创作的意图进行呈现。众所周知,书法似乎跟我们的生活越来越远,而赵老在40年之前就思考着这个问题,或许他希望构建中国古典书法与当代生活空间之间,有一个相对和谐呼应的关系,除了书斋,他更愿意书法走进人们的生活。
此次展览,我们动用了两种模式,一个模式就是由巨大体量的作品和现代空间进行一个撞击;第二,是我们试图用赵老在书斋中的实践,去表达他对于书法当代性的突破尝试,那种复杂和敏感的情绪。所以,我们希望大家看到古典书法不再是书房里的,它会走出书房,同时跟我们现在社会生活有很好的契合。


前言里提到,我们为了纪念赵老诞辰110周年,而选取了赵老一生当中非常重要的作品,展现赵老的创作是从哪里来的;他为什么要做这样的突破;第三,它的艺术前瞻功能。
书法,实际上是中国传统艺术当中,非常重要的,抚慰心灵的一种艺术形式。首先,书法的存在依赖于文本,赵冷月先生有一个非常高明的手段,他能把所有创作的形式和情绪都按照文本的内容进行创作呈现,他所有的文本都会对照情绪的表达,喜怒哀乐、欢欣鼓舞,或沉醉,或无聊,总之,他的作品能把你的情绪很恰当地“勾引”出来,然后给予一个抚慰,这是中国古典书法本身拥有的魔力。中国传统书法里,最好的作品都是跟自己的对话,所以高明的书家就会把观者心里的期许和情绪勾出来,这也是赵冷月先生书法尝试的一种。把私密性和公共性进行连接表现。

展览的第一个单元“遍临百家、不知所踪”。
这个名字听起来是有一点点无厘头,以字面的意思就是这个部分的作品展示赵冷月先生的传承,其书法博采众长,遍临百家,而又令人看不出确切由来。中国文化的传统技艺和艺术,最高明的地方就是,你看到他仿佛有来处,但不清晰,这是最妙的。所以古人云,学我者死,似我者生。赵冷月先生遍临几乎所有的书体,也擅长各种书体的创作,这是传统功夫。这一部分的呈现,是按书法史的序列来进行的,也就是以书体的先后次序来构筑赵老的学习过程。首先,看到的是他的篆书创作,赵老的篆书创作有一个非常大的特点,就是从古籀文里面汲取很多的营养,同时,他用这种风格来书写两种文本:第一是经典文献文本抄录;第二是对应当时心境或者周边情境,来书写对应的词句。
比如一开始我们看到的是《文心雕龙》的句子,这是中国历史上文论里最重要的文本,它奠定了中国古典文学评论的基础。赵老的创作,将书法和文句融合的非常完美。“海气文章”的对联也是如此,古朴凝重。在古典文字,尤其是篆书的文本创作上,一定会把释文录在边上,便于读者欣赏。这对对联虽然体量并不是那么大,但它的书写形式是以对古籀文的转译作为创作手段。赵老很钟情大篆,在中国古典书法里,它是以高古来对应的:文章写的古不古,取法对象高不高超一定程度上,取决于文字的选择。在写楷书的时候,为了让它变得古一点,会加一点隶书的味道,那么写篆书的过程当中,如果单用李斯的小篆就显得不够古,加一点金文的味道就显得很古,这点赵冷月先生在取法的过程中,异于常人,他明确地继承吸收了明朝以来,文人对于古书体的一个很纯粹的教养,这个非常关键。

篆书 《刘勰文心雕龙句》 尺寸:180×97厘米
我们再来看他的“自有可无”七言联,这幅七言联写得非常有趣,上联 “自有岩居临绝壑”,下联“可无俗物绕中怀”。中国古典文人的情怀是什么?不与人同。君子和而不同,所以赵老在他的一生当中,尤其在篆书的突破上,包括他对于意境的构造上,以文本为基础,以古籀为手段,来跳脱传统文人对于四平八稳的篆书的追求。在他们那个年代,篆书最受欢迎的是王福庵那一路,所以,赵老就显得略微有点野,但从现在看来,这个野是在法度范围之内,中国人讲“从心所欲而不逾矩”是最高境界,所以,他玩的是这个东西。包括它的内容文本,自有岩居临绝壑,我住在悬崖的边缘,怎么样?可无俗物绕中怀,我看不见那些俗物,就是很自负的一种表达。所以这样的对联实际上呈现出来的是创作者自己独有的情怀。

篆书 《自有可无七言联》 尺寸:245×61厘米×2
第二个部分是隶书,赵老的隶书有一个比较大的特点,你能明确的从他的隶书里面看到他所师法的对象。隶书的书写是要有非常重的中正庙堂之气,所以,赵老整体书法的基础是奠定在这个上面,隶书一般很容易写的呆板,怎么解决这问题。从正统碑版之外取法,《石门颂》、《曹全碑》、《张迁碑》,甚至《天发神谶碑》等等。清代金石学大兴之后,隶书开始由庙堂气,掺入野逸恣意的味道。我个人觉得赵老在他的隶书创作里面最重要的就是博采诸碑,杂糅金石,以为自家面目。

《节临张迁碑》 尺寸:48×670厘米
赵老的作品里面我们能看到,非常典型的《礼器碑》的典雅,《石门颂》的飘逸,《张迁碑》的古朴甚至《曹全碑》的秀润。所以,他的字里能看到很多师法来源,而自家面目又非常清晰,他跟当时的海派书家截然不同。它很活,又很庄重,有庙堂之气,同时不无趣,这是妙的地方。

隶书 《白居易八骏图》 尺寸:245X124cm
中国书法的传统里面书写最恣意的、最有表现性的是什么?草书。草书从哪里来?草书在中国古典书法里面,它实际上是一个从功能转化到艺术的一种书写形式。草书最初出现是为了有效率的书写,为了速度,所以笔画会变快,线条会变简洁。看草书,首先线条美不美,书法线条是根本,线条的老辣与否,翻转、牵连、节奏感,这是非常关键的。
当学了篆隶楷书之后,线条已经凝练到一定程度,就开始追求节奏感,赵老的作品就完全像看交响乐,它的前奏部分很稳。渐入佳境,在这个过程里面有大气磅礴,不断的翻腕动作,也有偶然的停止。草书最难的是什么?是“留”,笔到这儿能停住才牛。控制不住毛笔的草书到最后只能变成一堆油滑的线,没有神采,而恰到的停留,使得神采全出。

草书 《李白金门答苏秀才》 尺寸:248×62厘米×6
赵冷月先生在草书上的成就比他在行书和篆书上都要往前一步,只不过他没有把这个当成他名世的资本,他的线条其实已经非常成熟,无非就要寻求到他自己认为极致完美的语言。这通锦屏是我个人非常喜欢的作品,它是很震撼的,我们看到他的草书激情扑面而来,有强烈的带入感。他是一个君子在微醺的状态下跟你谈论古今,是个侠士的感觉,同时又有谦谦君子的意味,这是他草书最大的成就。

行书 《白居易和微之春日投简阳明洞天五十韵》 尺寸:248×62厘米×4
在赵老的时代,很多人对他的创作和探索有些疑惑,觉得他离经叛道。而实际上,他以“帖学”作为基础和筋骨,以“魏碑”作为打开取势的方法,形成了一种看起来很险峻的姿态,不太被人认可。
我个人觉得古人讲欧阳询的楷书以险峻著称,与赵老的探索有异曲同工之妙。赵老作品里这种所谓的稳,是以字的排布和结构的倚侧,来相互构成一种平稳的节奏。这种节奏在现代人的眼里,可以被接受,而四十年前是不敢想象的。他是用大量的倚侧来构筑一种中庸的气质,这个不是谁都能做得到的。我觉得他其实是设计过的,他是有很强烈的、日常大量的训练作为基础,所以他的行书我个人觉得尤其是他的行楷书,他有一种别样的趣味,以帖做底,以碑作骨,形成这样一个奇绝的味道,我们现在叫以拙取胜,不求媚,这个也是他比较独特的地方,我相信他的行书即使在现在,对很多的当代书家仍是有巨大影响的。可能大家会认为书写非常顺畅痛快才叫美,不一定的,美是有很多呈现模式的。

行书 《雪处花边五言联》 尺寸:248×62 厘米×2
比方说他这一件行书,回到文本的部分,“雪处疑花满,花边似雪回”,这是一个什么样的境界?它有非常强烈的文本带入感。就像谢道韫形容雪花一样,唯美的空境。他有一种境界的美感,我相信他在书写的过程当中,那种恣意的感觉,情绪非常饱满,他并没有把这个文本内容当成细腻的、女性化的描绘,同时,在创作里面又有非常多的细节。所以这件作品实际上无论从体量感,还是从文本感,还是从线条的质量,我个人觉得都是他非常重要的代表性作品。

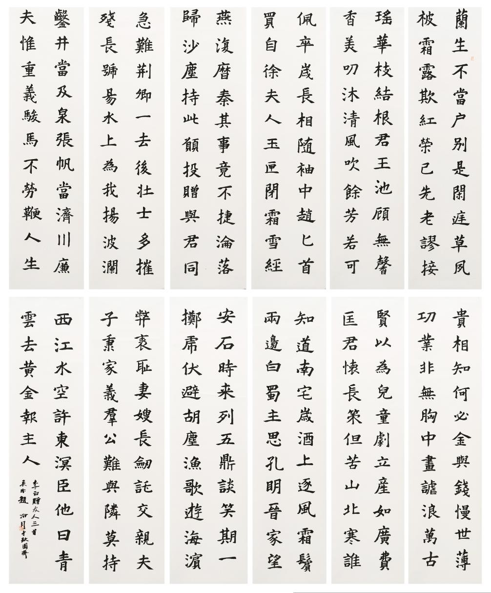
楷书 《李白赠友人三首》 尺寸:180×48厘米×12
接下来的楷书通屏,当然是表现他功底非常重要的一件作品。首先我们看到他的楷书对于唐楷的取法,在这里面又加入了他对北碑的理解,所以实际上他的楷书面目是多元化的。当然它呈现了一个非常清空雅致的面目,他没有把它写得非常狂野。对于李白这么有情怀和大起大落的诗词,是有他独特意图的,他想形成一种强烈的反差感,凝练的字体章法和恢宏的诗词气势的对冲。我一直觉得赵老在每一次创作前,会有非常强烈的自我建设。一个真正的高手,屏气凝神、挥洒自如,他的作品是最精彩的。体量感是对于李白的致敬,三首诗写成了十二条屏,用恢弘的气势来回应李白的诗的格局,同时他的创作是克制的。一个艺术家如果纯粹放纵没有边界,跟疯子没有两样,艺术家的厉害就在那一点控制上,所以他们说伟大的艺术家和疯子就是一线之隔控制。
第二个大部分是榜书。
这部分是展览的一个重头戏,从上个世纪70年代以来,中国传统书法在进入公共视野过程当中,都很少顾及这么大体量的作品呈现。榜书在中国古代只有两种功能用途,一个是城市和地名的呈现,另外一个是歌功颂德。那么作为艺术家纯粹的宣泄和作为对公共场所的一种尝试,赵冷月是很罕见的,即便到今天为止,这样的创作,也不见得有他这么纯粹,因为我们清楚,在他的那个年代,这样的创作,很难展示,他纯粹是一个自我的宣泄过程,这个是很深层次的探索。

榜书 《介洁》 尺寸:242X123 厘米
那么比方说像《介洁》,他所有的词汇都是有出处的,所以我觉得他对于古典文本的尊重和对自己内心深处的一个回应做得非常好。他是一个真正先感动自己,然后由作品感动观众,作品的书写控制而张扬,含蓄而演绎,这都是相关但相冲突的。

榜书 《鸿鹄高飞 一举千里 羽翼已就 横绝四海》 尺寸:179.5×96.5 厘米×8
所有线条的处理都是极尽控制,但在控制的过程当中,把那种激情通过笔墨迸发出来,这也是他跟日本和东南亚一带这种少字派书法最大的差别,那个是纯粹的情绪宣泄,有时候甚至很多文本跟这个书写是没有关联的,这是赵老的一件代表作,以前也经常发表,大汉雄风,线条饱满、情绪饱满。你想像一下,在一个狭小的空间里,创作这样作品的时候,他一定是把自己当成了彼时很重要的人物了。他要把这种情绪宣泄出来。“鸿鹄高飞一举千里,羽翼已就横绝四海“,什么样的词汇,什么样的胸怀,他所有的墨色变化和丰富完全超乎我们的想象。在这个状态之下,他已经完全不考量,法的拘束在哪里。作为代表他在激情创作的过程当中的一个典型面目,也是在榜书创作当中很少见的经典作品。

榜书 《鹰扬 》 尺寸:241X122 厘⽶
《鹰扬》这个作品的文本创作跟他自己的设计是有很大关联,这样的文本所呈现出来给我们的冲击性,和作品本身墨色的丰富,形成了一种非常巨大的视觉反差。书法很讲气的,对于气的生成感受,使得这件作品很强大的上升空间。对于整体这种面目的塑造和在取法当中北碑部分的吸收是非常大的创举,因此,在这件作品中,隐含有一点点南宋张即之楷书的意味,同时又有北碑厚重的呈现。

榜书 《升腾》 尺寸:122X243 厘⽶
榜书的尾声,实际上是赵冷月先生在榜书创作里很重要的两个,第一个叫《升腾》,大家看他所用的结体雄浑,笔致宽博,情绪非常饱满,字势开张。很显然这件作品的书写速度非常迅疾,气势奔腾。第二件虽然写的是《寂照》两个字,“寂照”是对自己内心的一个回观,有凝视的过程,而“寂照又是一个相对静的动作,由迅速的动到静的一个凝固,因此,这件作品具有很浓烈的过程性的节奏感,也形成很强的带入感,这样的作品很容易让人兴奋,这也是书法的一种魅力。

榜书 《寂照》 尺寸:122X238 厘⽶
最后一个大部分是赵老日课的展示。
日课就是日常练习的内容。其实这个部分作品有很多,我们有点选的少,但在未来的展览当中,会希望要呈现一个饱满的、完整的、立体的赵冷月,就要把他曾经走过的路再重新找回来,这样的话它才会立体和饱满。赵老是很多面的。比方说这件作品,懂书法的,一看就知道《石门颂》,他在《石门颂》里面得到了飘逸的部分,《石门颂》是汉隶当中演绎的最有逸气的,同时他有那种空灵的感觉,但是在他平时的创作里面这个部分就很少。第二件他写的北齐的《金刚经》刻石,写经的写法,北齐的作品是正好从隶书向楷书转变的时候,也就是书法的早期,作品往往带有很多天趣,所以这里面有篆书的味道、隶书的味道,这样就显得古而醇厚。

《节临石门颂》 尺寸:180×98厘米

《节临泰山金刚经》 尺寸:180X98cm
然后是北碑,当然我们都知道北碑是赵老非常重要的、安身立命的基础,它的雄浑、刚强,他的中正庙堂之气都从这里面来,所以他的气力是第一位的。我们讲气力、气势、风神,立意的根本是为了告诉大家他的气力、情绪都是建造在这样的基础之上。

魏碑 《身安心定五言联》 尺寸:243×61厘米×2

魏碑 《壶中林下四言联》 尺寸:243×61厘米×2
特别希望这次深圳的展览,能够给我们提供一些很重要的借鉴意义:赵冷月对于当下的文化艺术有着什么样的积极推动意义?第二,书法跟当下的生活是有紧密关联的,它的文本带给我们情绪价值审美价值如何展现。我们现在的公共空间对于书法的介入太缺失了,希望赵冷月的创作展览和实践,能给当下的我们带来积极的思考和借鉴。
展览现场:









网友评论仅供其表达个人看法,并不表明本站同意其观点或证实其描述。