
夏言,字公谨,号桂洲,江西贵溪人。明嘉靖朝重臣,为人豪迈强直,纵横辩博。因议礼受嘉靖皇帝倚重,平步青云,于嘉靖十年(1531)擢礼部尚书,十五年(1536)入内阁,不久即升任内阁首辅。严嵩亦出自其门下,受其推荐乃得身居高位,不过后来二人彼此交恶,夏言遭严嵩构陷而罢相,直至隆庆朝方得以平反昭雪,追谥“文愍”。
嘉靖十一年(1532)四月初五日,时任礼部尚书的夏言于早朝后邀约同僚至郊外天坛附近赏花,获邀一同前往者,有其余五部尚书及身居要职的肱骨之臣。众人赏花赏景之余,又纷纷联句吟咏,盛赞君臣和睦,太平盛世。夏言将这些联句诗书写成卷,并和一首,遂成此长逾十一米巨制《行书仙坛雅集诗》卷,并自书引首“仙坛雅集”。
夏言擅书,王世贞评其书法:“文愍以才隽居首揆,天下重其书。贞珉法锦,视若拱璧。”可见夏言书法极为时人所重。其受严嵩陷害后,流传作品更少,愈显稀珍。观此《行书仙坛雅集诗》卷,通篇一气呵成,以劲毫疾书,结体遒密,刚健瘦硬,力量气局扑人眉宇,是身居高位、春风得意的夏言的心境写照,亦有文人骨子里放浪形骸、纵酒吟咏的自由浪漫。
此卷原为荣宝斋所藏,并出版于《中国古代书画图目》第一册。杨仁恺先生记载“夏氏作品少见,此卷为真迹。”劳继雄在《中国古代书画鉴定实录》中记录当时先生们的评语:“比文徵明写得好。”而卷中记载之“仙坛雅集”堪为明代嘉靖朝的兰亭雅集,六部尚书齐聚,饮酒吟诗,挥毫染翰,呈现嘉靖中兴的历史面貌,集历史、文学、艺术价值于一卷,故尤可珍也!
题识:嘉靖十一年壬辰夏四月五日,资善大夫礼部尚书兼翰林院学士,桂洲夏言书于坛之云卧轩。
钤印:大宗伯章
鉴藏印:荣宝斋收藏
引首:仙坛雅集。桂洲。钤印:宗伯学士之章、桂洲、三峰亭主人
释文:联句
琳宫清兴退朝余(太宰晋溪王公),景物清和夏正初(大司马兼大中丞诚斋汪公)。芍药满栏开烂漫(大司马荆山王公),酒杯当院对踌躇(大司寇海山王公)。逢时赏䜩何多幸(大司空石菴蒋公),出郭尘襟顿觉除(银台东渚陈公)。天子圣明卿辑睦(大廷尉泉坡周公),太平朝野乐何如(少宗伯未斋顾公)。风前啜茗睡醒余(太宰公),花下移尊午漏初(大中丞公)。雅忆兰亭成俯仰,爱吟石鼎兴踟蹰(大司徒松臯许公)。好风天乐传金奏(大司马公),午夜文星傍玉除(大司寇公)。宗伯雅怀能醉客(太宰公),放歌纵饮定何如(大司空公)。
右二篇乃诸公即席联句,仆是日忝为主人,故不敢赞一词,而别为报章录如右:天坛赏花奉答晋溪诸公一首。夏日瑶坛花盛开,退朝诸老看花来。放歌纵酒神仙地,纡玉拖金将相才。四海壮游同日月,一时豪兴动风雷。太平勋业知何补,浅薄真叨八座陪。
出版:
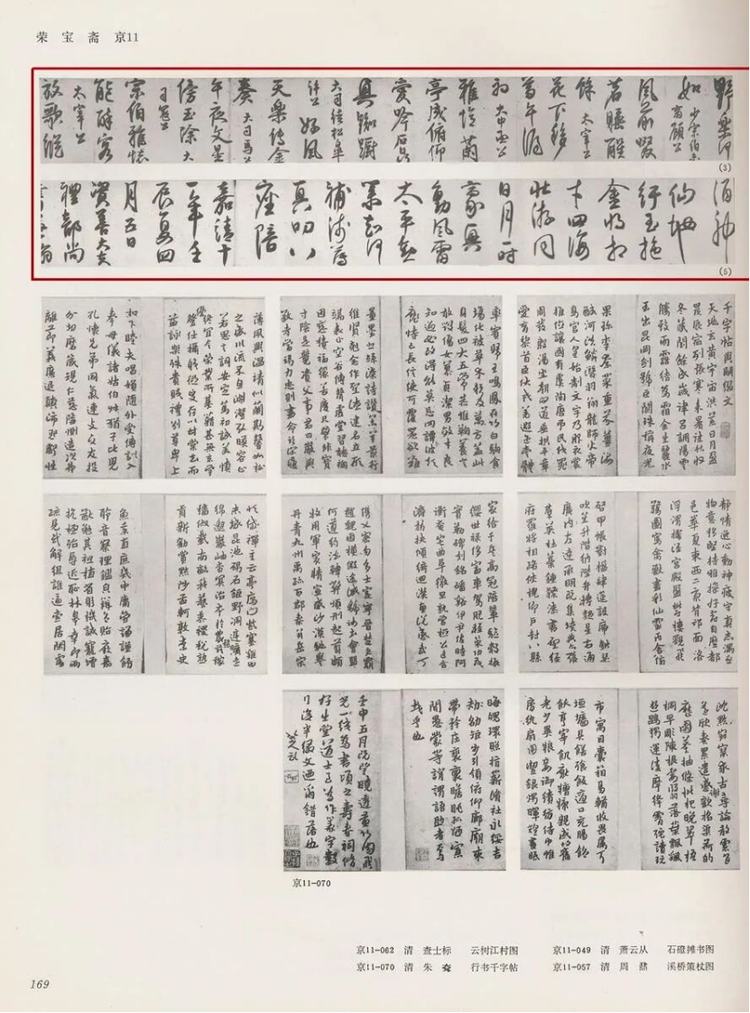
1.《中国古代书画图目》(一),京11-014,第167-169页,文物出版社,1993年。
2.《荣宝斋珍藏·卷10》,第54页,荣宝斋出版社,2009年。
著录:
1.劳继雄著:《中国古代书画鉴定实录》(壹),第373页(标为“真迹”,按:比文徵明写得好),东方出版中心,2011年。
2.杨仁恺著:《中国古代书画鉴定笔记》(壹),第86页(夏氏作品少见,此卷为真迹),辽宁人民出版社,2015年。
3.《傅熹年中国古代书画鉴定组工作笔记》(第一册),第215页(字如陈白沙,近文徵明),中华书局,2023年。
展览:荣宝斋主办:《荣宝斋藏品系列展·明代书法卷册部分》,2013年4月,北京荣宝斋大厦二楼荣宝斋美术馆。

嘉靖十一年(1532),岁在壬辰。是年四月初五日,朝堂退去后,礼部尚书夏言约同僚至郊外天坛附近赏花。
获邀一同前往的“王琼、汪鋐、王宪、王时中、蒋瑶、陈经、周伦、顾鼎臣、许赞”等九人,为朝廷其余五部尚书及身居要职的肱骨重臣。显然,这一次“六部尚书齐聚”的雅集,若以身份之尊贵而言,可称“文人雅集第一”。


时间回到正德十二年(1517),高中进士的夏言,终于摆脱了军籍子弟身份,初入仕途,奉命考察湖广等地。三年后,升任督察院兵科给事中,肩负建言进谏之责。未久,因突然驾崩的正德皇帝绝嗣,兄终弟及,嘉靖皇帝承继大统,朝廷亦掀起一场持续数年的“大礼议”巨大风波。
而“大礼议”中,耿直的夏言与朝臣力辩,认为嘉靖皇帝应尊奉生父“兴献王”为皇考,又忠勤王事,认为应当遵循祖制,恢复天地分祭。这一系列不陷党争,坚定地支持嘉靖皇帝的行为,使得夏言大获圣宠,开始平步青云。从谏官开始的短短数年时间内,便迅速官至礼部尚书,极是罕见,可谓风光无两。

正德十二年(1517)夏言进士及第

嘉靖十年(1531)升任礼部尚书
此次“天坛赏花”亦是因夏言连日受赏赐,倍受嘉靖皇帝眷宠,故其余五部尚书无一缺席,赏景之余,又纷纷联句为之吟咏,盛赞君臣和睦,太平气象。而作为雅集主人翁的夏言亦隐然成为这些重臣中首辅。夏言又将这些联句诗书写成卷,并和一首,即此次呈现于中国嘉德2025秋拍的《行书仙坛雅集诗》,蔚为珍罕。


考《明世宗实录》卷一三七载,嘉靖十一年四月初一日,“特享太庙、世庙。以献皇帝御书‘持守盈满’四字、恩纪含春诗一帙及四书五经等书赐礼部尚书夏言,从其请也。”初四日,“赐尚书夏言、讲官顾鼎臣、张潮、席春、吴惠、廖道南、中允孙承恩等川扇。”
夏言《夏桂洲先生文集》卷十亦记是年四月初六日上呈谢恩的《谢赐先帝篆书并内府书籍表》:“伏蒙圣恩,特命中官钦捧恭穆献皇帝睿笔‘持盈守满’四大字,并睿制《纪恩含春堂》诗集,内板四书五经、性理大全、历代通鉴纲目纂要、名臣奏议、文献通考、大明集礼、一统志等书凡十四部,计五百四十八册颁赐臣者……永以为宝,愿济美于云来;盛必可传,冀流芳于竹帛,臣无任瞻天荷圣感激屏营之至。”

《明世宗实录》卷一三七,初一日、初四日词条
由上可知,四月初一、初四日,夏言皆受嘉靖皇帝赏赐,初五日早朝后与同僚天坛雅集,初六日上表谢恩。
而嘉靖皇帝以“献皇帝”御书赏赐夏言,不难揣知是对夏言在“大礼议”中极力主张嘉靖皇帝尊奉生父,维护皇帝尊严之褒扬。“献皇帝”即兴献王,为嘉靖皇帝追谥。

嘉靖皇帝(1507-1567)
诸臣雅集的地点天坛亦是夏言奉敕督造,而后成为帝王祭天,宣扬君权神授、天命所归的神圣之地。《明史》卷四十八郊祀之制记载:“嘉靖九年(1530),世宗既定《明伦大典》,益覃思制作之事,郊庙百神,咸欲斟酌古法,厘正旧章。……已而命户、礼、工三部偕言等诣南郊相择。……于是作圜丘,是年十月工成。”
事实上,天地合祭问题是“大礼议”之争的延续。因此,嘉靖皇帝对于天坛的督造极为关注。待天坛竣工后,其便有理由顺势追谥生父为睿宗,配享太庙。而夏言仕途升迁,又迅速入阁亦是因以古制不符为由,上书极力推动“祭礼改制”,愈受嘉靖皇帝信任。此外,地坛、日坛、月坛亦是夏言督造,使得“天地日月,并茂齐辉”,嘉靖皇帝的皇权正统亦得以彰扬。

夏言督造“北京天坛”

夏言督造“地坛、日坛、月坛”
笔者揣想,君子党而不群,尤是朝廷重臣更应避免有“结党”之嫌,而此次组织“天坛雅集”,规模如此庞大,参与人数身份如此显赫,又纷纷作诗联句,夏言一一记录,并书写成卷,使之传世,亦应是群臣与嘉靖皇帝心照不宣的有关“大礼议”之争的站队。

《行书仙坛雅集卷》内容共计诗词三首,前两篇为同游的九位尚书、大臣等即席联句,最后一篇为夏言唱和。
1 吏部尚书、累赠太师:王琼

“吏部尚书、累赠太师”王琼「第一句」
第一句:“琳宫清兴退朝余(太宰晋溪王公)”。王琼,号晋溪,官至吏部尚书、累赠太师,谥“恭襄”。太宰,古代官职,《周礼》记为六卿之首。王琼历事成化、弘治、正德、嘉靖四朝,功绩显著。阁臣霍韬赞之“如公功德,自垂无极”。户部侍郎高汝行称“晋溪公之才,横绝古今,详载史册”。
“大礼议”中,王琼虽与杨廷和不睦,却态度模糊,多是妥协。然其主张将嘉靖皇帝生母兴献妃一同迎接入京,亦见其在旧臣与皇帝之间的利益权衡,既维护既有秩序又寻求自身利益最大化。
2 吏部尚书兼兵部尚书:汪鋐

“吏部尚书兼兵部尚书”汪鋐「第二句」
第二句:“景物清和夏正初(大司马兼大中丞诚斋汪公)”。汪鋐,号诚斋,官至吏部尚书兼兵部尚书,权倾一时,亦是明代唯一一位身兼两部的尚书。大司马,古代官职,位于三公之首,专司武职的最高长官,此则指兵部尚书。大中丞,古代官职,掌管接受公卿的奏事,以及荐举、弹劾官员的事务,为吏部所司之事。
“大礼议”中,汪鋐虽未直接上疏,不过其支持应遵循《礼记》“为人后者为之子”的古礼,主张嘉靖皇帝应尊生父为皇考。
3 兵部尚书:王宪

兵部尚书”王宪「第三句」
第三句:“芍药满栏开烂漫(大司马荆山王公)”。王宪,号荆山,正德朝时已接替王琼任兵部尚书,而后被弹劾罢官。嘉靖十年,复召为兵部尚书。其平定内乱、戍边御敌,军功卓著。《国朝献徵录》称之:“天性孝友,敦尚节俭,历官四十余载,不激不抗,有古大臣风。”
“大礼议”中,王宪虽未直接参与,然曾请求释放“大礼议”的罪臣,受士大夫称赞。
4 刑部尚书:王时中

刑部尚书”王时中「第四句」
第四句:“酒杯当院对踌躇(大司寇海山王公)”。王时中,号海山,官至刑部尚书。大司寇,古代官职,中央司法体系中的最高审判官职。其为官时,不畏权贵,敢于直言开罪于宦党。嘉靖皇帝曾赞言:“刑部乃法司之首,不可缺人,时中性资详慎,可刑部尚书。”
“大礼议”中,王时中奉命审理南京御史冯恩案,认为冯氏罪应仅判充军。而嘉靖皇帝想要处死大礼议中直言谤上的冯恩,遂将王时中撤职,改由汪鋐主审。
5 工部尚书:蒋瑶

“工部尚书”蒋瑶「第五句」
第五句:“逢时赏䜩何多幸(大司空石菴蒋公)”。蒋瑶,号石菴,官至工部尚书,赠太子太保,谥恭靖。大司空,古代官职,掌土木建设、水利建设之职。蒋瑶为官直陈时弊、不畏权势,殊受宠信。嘉靖皇帝在宴请臣工时,令皇亲让位于蒋瑶,并言:“亲亲不如尊贤”。
“大礼议”中,蒋瑶可见的记载不多,曾参与孝贞纯皇后祔庙礼仪的安排。后来,奉敕为“献皇帝”督工建造新陵。
6 户部尚书:陈经

“工部尚书”陈经「第六句」
第六句:“出郭尘襟顿觉除(银台东渚陈公)”。陈经,号东渚,官至户部尚书、礼部尚书、兵部尚书,加太子少保。银台,北宋门下省设银台司,掌天下奏状案牍,兼管封驳事务,其名源于司署设于银台门内。明代时通政司与银台司职能相当。天坛雅集时,陈经应任通政使。
7 南京刑部尚书:周伦

“南京刑部尚书”周伦「第七句」
第七句:“天子圣明卿辑睦(大廷尉泉坡周公)”。周伦,官至刑部尚书,又改任南京刑部尚书。大廷尉,古代官职,为中央最高司法审判机构长官,汇总全国断狱数,主管诏狱和修订律令的有关事宜。周伦曾为大理寺左少卿,又两任南京刑部尚书,故此“周公”应为周伦。其为官端正,操守耿介,明察秋毫,任内官署内部秩序亦是井然,效率大增。
此外,周伦诗文清健,书法有晋人风,其子周凤来富有收藏,一时无与比者。龚暹《(嘉靖)宁州志》卷十八又载:“《御制文集》一部,《皇明制书》一部,……以上俱藏于周泉坡御书楼。”
8 吏部尚书、内阁首辅:顾鼎臣

“吏部尚书、内阁首辅”顾鼎臣「第八句」
第八句:“太平朝野乐何如(少宗伯未斋顾公)”。顾鼎臣,号未斋,官至吏部尚书、内阁首辅,谥文康。少宗伯,即小宗伯,礼部侍郎代称,辅助大宗伯管理国家礼仪祭祀。时顾鼎臣为礼部右侍郎兼经筵日讲官,而后更是仕途恒顺,擢为武英殿大学士,极为显赫。是次雅集前一日,顾鼎臣亦获御赐川扇。
“大礼议”中,状元及第的顾鼎臣彼时身份并不显贵,未受牵连。相反,由于参与大礼议的很多大臣被廷杖或罢免,善写青词的顾鼎臣遂得屡屡晋迁。
9 户部尚书:许赞

第二首联句诗:“户部尚书”许赞
第二首亦是诸大臣联句,作者包括王琼、汪鋐、许赞、王宪、王时中、蒋瑶。
其中,第一首未参与的许赞,本诗联句内容:“雅忆兰亭成俯仰,爱吟石鼎兴踟蹰。(大司徒松皋许公)”,将此次天坛赏花誉为兰亭雅集。许赞,号松皋,官至户部尚书、吏部尚书,加少傅兼太子太傅。大司徒,古代官职,掌管土地图籍、户口登记、诸侯封邑及人民教化,采用土均之法管理赋税。职能与户部尚书相当。
10 礼部尚书、内阁首辅:夏言


“礼部尚书、内阁首辅”夏言和诗(局部)
而后夏言依据诸公所作联句诗,唱和一首《天坛赏花奉答晋溪诸公》,其亦自谦“忝为主人,故不敢赞一词”。作为此次雅集的主人,夏言因“大礼议”之争,坚定支持嘉靖皇帝而凭这一契机步入权力核心。
故获赐献皇帝御书“持守盈满”、恩纪含春诗等,是嘉靖皇帝对其“忠君”之褒扬,夏言亦心照不宣邀同僚来到这个有着特殊“皇权”意义的天坛赏花,既感谢天恩浩荡,亦是借此与同僚表明站队嘉靖皇帝的立场。同时,这次雅集亦可视为这场持续多年的“大礼议”之争,以嘉靖皇帝的胜利而宣告结束。
严嵩亦曾为夏言门下,受其推荐乃得身居高位。不过,后来二人彼此交恶,夏言被陷害,隆庆朝时得以平反昭雪。
讴歌太平,君臣和睦
是卷《行书仙坛雅集诗》,共录诗三首,内容大抵是讴歌太平盛世,君臣和睦,其乐融融。
第一首诗意为群臣退朝后,天气清丽,来到天坛,芍药花开烂漫,饮酒雅集,胸中凡尘顿涤。而这一切都是得益于皇帝与臣子和睦相处,太平盛世又有什么快乐能比拟。

第一首(局部)
第二首诗意写群臣饮酒品茗,犹若兰亭雅集,亦是优游自适。而“好风天乐传金奏,午夜文星傍玉除”亦暗喻天下祥和景象。

第二首(局部)
第三首诗意夏言感慨诸位朝廷将相大臣一同赏花,放歌纵酒如同神仙快活。而这次雅集因“太平勋业”则好像日月一样,四海壮游、兴动风雷。

第三首(局部)
自承继皇帝位未久,嘉靖皇帝便陷入“大礼议”之争中,开始了一场“皇权与臣权”的长久较量。期间,被罢黜、杖毙、下狱的大臣诸多,朝廷纷争不断,宠臣当道。
不过,亦是因“大礼议”,嘉靖皇帝彻底分化、打击了文官集团,展现出强硬的手段与政治智慧。而后的翰林院、内阁制度的改革除弊,以及整饬言路、大力裁革冗滥,精简机构并严禁宦官干政等,亦是因“大礼新贵”的崛起,使清除弊政阻力大幅减少,乃能出现“嘉靖中兴”的局面,实现皇权进一步集中。即使是后期迷信道教,不侍朝,仍然牢牢掌控着整个明朝大权。
结语
是卷《行书仙坛雅集诗》,夏言题写引首“仙坛雅集”。其中“仙坛”称谓,“上有所好,下必甚焉”,亦可见彼时朝野上下道教之盛行,甚至可侧面反映夏言对于嘉靖皇帝的迎合之心。
三首诗的书法亦是行云流水般酣畅淋漓,全无拘束,是身居高位、春风得意的夏言的心境写照,亦有文人骨子里放浪形骸、纵酒吟咏的自由浪漫。王世贞《艺苑卮言》评介夏言书法,称:“文愍以才隽居首揆,天下重其书。贞珉法锦,视若拱璧。”可见彼时夏言的书法已殊受珍重。其受严嵩陷害后,流传作品更为鲜少,愈显稀珍。

夏言《行书仙坛雅集诗》款识
此为荣宝斋旧藏,出版于《中国古代书画图目》第一部。杨仁恺著《中国古代书画鉴定笔记》中记“夏氏作品少见,此件为真迹”,劳继雄《中国古代书画鉴定实录》记载当时徐邦达、启功、谢稚柳等诸鉴定大家的评语“比文徵明写得好”。附有展览。

笔者亦私以为,作为目前已知古今文人雅集中,此或应是与会者身份最显赫、唯一“六部尚书”齐至的一次带有“心照不宣”重要政治表态的雅集,亦为“大礼议”划上句话,其意义更是不言而喻,而其背后有关“大礼议”之争的历史面貌、史料价值,乃至于诸公的交往等,亦是珍贵。识者宝之。




出版:《中国古代书画图目》(一),京11-014,第167-169页,文物出版社,1993年(左右滑动查看更多)

著录:杨仁恺著:《中国古代书画鉴定笔记》(壹),第86页,辽宁人民出版社,2015年。


著录:劳继雄著:《中国古代书画鉴定实录》(壹),第373页,东方出版中心,2011年。
参考资料:[1]静斋:嘉靖雅集继兰亭——夏言 《行书仙坛雅集诗》
大观——中国书画珍品之夜•古代
预展时间
11月19日-21日 公众日
11月22日 嘉德客户日
拍卖时间
11月24日
Lot 3191-3228 16:30 顺延
拍卖地点
嘉德艺术中心B1层 A厅


网友评论仅供其表达个人看法,并不表明本站同意其观点或证实其描述。